水疱性口炎病毒(VSV)属于弹状病毒科(Rhabdoviridae) 水疱病毒属(Vesiculovirus),是有囊膜的非分段单股负链RNA 病毒。其VSV要感染啮齿类动物、鱼类、牛、猪、马、禽类及非人灵长类等,在人群中的流行率极低,仅有个别动物饲养员和实验室人员的感染案例,感染后症状轻微或无症状。
VSV侵入宿主后,病毒糖蛋白G介导病毒粒子与细胞表面受体结合,通过内吞作用进入细胞。随后通过pH介导膜融合,促使VSV基因组释放到细胞质中。感染病毒粒子内包装的L、N、P共同构成的聚合酶复合物以基因组负链RNA为模板启动转录表达,复制,组装,出芽产生子代病毒。
干扰素(Interferon,IFN)是一种由单核细胞和淋巴细胞产生的具有多种功能的活性蛋白(主要是糖蛋白),其具有高活性、多功能的特点。IFN是一种广谱抗病毒剂,具有抑制病毒复制、影响细胞生长以分化、调节免疫功能等多种生物活性。
按照IFN结构与功能不同,可将其主要分为:Ⅰ型(IFN-α、IFN-β、IFN-ε、IFN-ι、IFN-ω、IFN-δ和IFN-ξ)、Ⅱ型(IFN-γ)和Ⅲ型(IFN-λ)。
在基础、临床研究和研发中,常使用VSV介导的细胞病变抑制法检测IFN生物学活性。相较于报告基因法等只能测定某种类型IFN,干扰素生物活性检测可检测全部类型的IFN,应用范围更广。
本法系依据干扰素可以保护人羊膜细胞(WISH)免受VSV破坏的作用,用结晶紫对存活的WISH细胞染色,在波长570nm处测定其吸光度,可得到干扰素对WISH细胞的保护效应曲线,以此测定干扰素生物学活性。
测定方法:
(1)WISH细胞在培养基中贴壁生长。按(1:2)~(1:4)传代,每周2~3 次,于完全培养液中生长。
(2)取培养的细胞弃去培养液,用PBS洗2次后消化和收集细胞,用完全培养液配制成每1mL含2.5×105~3.5×105个细胞的细胞悬液,接种于96孔细胞培养板中,每孔100μL,于37℃、5%二氧化碳条件下培养4~6小时。
(3)将配制完成的标准品溶液和供试品溶液移入接种WISH细胞的培养板中,每孔加入100μL,于37℃、5%二氧化碳条件下培养18~24小时。
(4)弃去细胞培养板中的上清液,将保存的VSV用攻毒培养液稀释至约100CCID50,每孔100μL,于37℃、5%二氧化碳条件下培养24小时(镜检标准品溶液的50%病变点在1 IU/mL)。
(5)弃去细胞培养板中的上清液,每孔加入染色液50μL,室温放置30分钟后,用流水小心冲去染色液,并吸干残留水分,每孔加入脱色液100μL,室温放置3~5分钟。
(6)混匀后,用酶标仪以630nm为参比波长,在波长570nm处测定吸光度,记录测定结果。
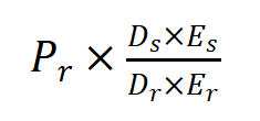
(7)试验数据采用计算机程序或四参数回归计算法进行处理,并按下式计算结果:
供试品生物学活性(IU/mL)= 
式中Pr为标准品生物学活性,IU/ml;
Ds为供试品预稀释倍数;
Dr为标准品预稀释倍数;
Es为供试品相当于标准品半效量的稀释倍数;
Er为标准品半效量的稀释倍数。
注:显色方法也可采用经等效验证的其他显色方法。